27 Oct 2025
Abstract
Weak quantum measurements enable real-time tracking and control of dynamical quantum systems, producing quantum trajectories — evolutions of the quantum state of the system conditioned
on measurement outcomes. For classical systems, the accuracy of trajectories can be improved by
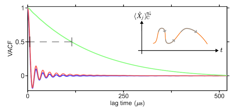
incorporating future information, a procedure known as smoothing. Here we apply this concept
to quantum systems, generalising a formalism of quantum state smoothing for an observer monitoring a quantum system exposed to environmental decoherence, a scenario important for many
quantum information protocols. This allows future data to be incorporated when reconstructing the
trajectories of quantum states. We experimentally demonstrate that smoothing improves accuracy
using a continuously measured nanomechanical resonator, showing that the method compensates for
both gaps in the measurement record and inaccessible environments. We further observe a key predicted departure from classical smoothing: quantum noise renders the trajectories nondifferentiable.
These results establish that future information can enhance quantum trajectory reconstruction, with
potential applications across quantum sensing, control, and error correction.
Browse Figures
Authors









No Responses